通过与乌特勒支大学的合作,我们开发了一种在纳米尺度上测量温度的新技术,显示了我们的Wildfire纳米芯片非凡的温度精度和均匀性
纳米颗粒对温度敏感的发光特性使其能够应用于远程温度计。事实上,这些纳米温度计的尺寸使它们非常适合以高空间分辨率绘制温度图。然而,这对超过100°C的温度进行高空间分辨率测绘带来了一些挑战。
我们与乌得勒支大学的Thomas van Swieten和他的同事合作,共同开发了一种测量纳米级温度的新技术。事实上,我们在Wildfire Nanochip芯片上测试了这项新技术,并进一步证实了纳米芯片无与伦比的温度精度和均匀性。这些实验也证明了我们的模型是如何很好地预测整个加热器的温度分布。这些实验也证明了我们的模型在预测微型加热器上的温度分布方面有多好。重要的是,这种特殊的技术将从整体上提高纳米测温的精度,不仅应将用在微纳米电子学中,也在具有光子不均匀衬底的其他领域中。
技术:发光纳米测温法
微观尺度上的温度测量是微纳电子器件发展的必要表征工具。然而,传统的温度计,如热电偶,由于其尺寸的原因,通常无法可靠地测量这种长度范围内的温度。这正是通过光学测温技术进行远程温度传感发挥作用的地方。基于发光的测温法特别令人感兴趣,因为它易于实施,只需要在感兴趣的样品中或样品上沉积发光材料并检测其发光。出于这个原因,发光纳米测温法目前正在发展成为显微镜中温度测量的首选方法。
均匀热分布
我们的Wildfire Nanochip芯片经过专门设计,可使用户在放置样品的微型加热器上获得均匀的热量分布。特别是由于金属螺旋的独特几何形状,窗口正好位于中心,用户能够享受如此显著的温度均匀性。事实上,我们的Wildfire Nanochip芯片在整个窗口区域的温度均匀性为98%,在两个中心窗口的温度均匀性为99.5%。右下图完美地展示了芯片出色的温度均匀性,显示了使用有限元模型模拟的中心温度为523 K时膜和微型加热器的温度分布。

图1:左边:Wildfire纳米芯片,其中金属螺旋体用橙色表示,氮化硅膜用蓝色表示。 右边:有限元模型模拟显示了Wildfire纳米芯片的显著温度均匀性。
可靠的温度mapping
在这项工作中,使用的发光颗粒是掺Er3+和Yb3+的NaYF₄纳米颗粒当用红外激光激发时,这些粒子表现出强烈的上转换。换句话说,它们发射的光子比激发光子的波长要短。如下图所示,我们发现发射的(绿色)光子的光谱对温度相当敏感。

图2:在303K(深红色)到573K(黄色)不同温度下激发的纳米粒子的绿色上转换发光
通过在共焦显微镜中扫描沉积纳米粒子层的激光,我们能够捕获一系列发射光谱。然后,我们使用每个像素的两个峰的发光强度比将该发射光谱转换成温度图。经过一系列校正步骤后,该技术显示出1-4 K的显著精度,空间分辨率为1微米。值得一提的是,大多数其他技术都无法达到如此高的精度。

图3:a)中,我们用激光扫描了带有沉积的发光纳米粒子的微加热器,以生成强度比的地图。b)显示了每个像素的光谱转换成温度,以提供微加热器的温度图。
模拟和模型精度
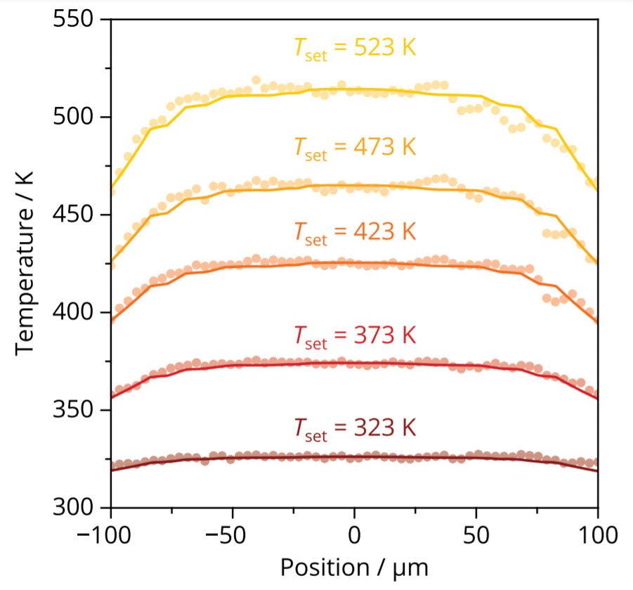
使用完全校正的温度图,我们能够深入分析微型加热器的温度均匀性。下图显示了穿过这些地图中心的水平轨迹。模拟的温度曲线(线)显示出与实验轨迹(点)的良好匹配。这证实了有限元模型作为设计工具的可靠性以及我们的温度mapping技术作为表征工具的优势,实现了高精度和1 μm的空间分辨率。

图4:显示升高的温度的图谱。线条代表模拟的温度曲线,实验痕迹代表圆点。
我们确定了中心温度的标准偏差,以量化这种测温方法的准确性,并发现323 K时的1 K值增加到513 K时的仅4 K值。总之,这使得使用共焦发光光谱的纳米测温成为一种有前途的方法,不仅可用于微型加热器,还可用于生物和催化等其他领域,在这些领域中,温度变化很重要,但难以用常规方法监测。

“由于这种方法具有非常好的空间和温度分辨率,我们能够获得微型加热器螺旋区的精确温度图。这证实了我们的有限元模型所预测的出色的温度均匀性。”- DENSsolutions 微系统工程师 Tijn van Omme

如果您想要了解更多产品信息,请填写以下信息下载产品手册, 我们收到您的信息后将第一时间回复您。

